ashasteem(25)•in #health•3110 days agoFACTORS AFFECTING CLEANLINESS OF DENTAL AND MOUTH OF THE ACEH COMMUNITY IN 2017hello steemian friend... l'am come back in the steemit.. Research on factors influencing the oral conditions of community was done in Aceh on 2017. The objectiv...45$0.00ashasteem(25)•in health•3110 days agoFACTORS AFFECTING CLEANLINESS OF DENTAL AND MOUTH OF THE ACEH COMMUNITY IN 2017hello steemian friend... l'am come back in the steemit.. Research on factors influencing the oral conditions of community was done in Aceh on 2017. The objectiv...45$0.00
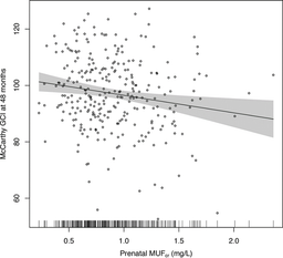
tftproject(25)•in #health•3117 days agoGovernment Supported Journal Publishes Landmark Study Linking Fluoride to Low IQhttp://thefreethoughtproject.com/wp-content/uploads/2017/09/fluoride.jpg Increased levels of prenatal fluoride exposure have been linked to lower intelligence i...669$3.87tftproject(25)•in health•3117 days agoGovernment Supported Journal Publishes Landmark Study Linking Fluoride to Low IQhttp://thefreethoughtproject.com/wp-content/uploads/2017/09/fluoride.jpg Increased levels of prenatal fluoride exposure have been linked to lower intelligence i...669$3.87
heart-to-heart(25)•in #steemit-health•3115 days agoHave Your Cake and Eat it Too! Helpful, Easy Ways To Implement Dietary Change Without Sacrifice! ❤️I often hear "I wish I could make food like you"or "I can't eat like you do" Guess what? You absolutely can! Peanut Butter Filled Chocolate Hearts with Coconut ...7033$8.04heart-to-heart(25)•in steemit-health•3115 days agoHave Your Cake and Eat it Too! Helpful, Easy Ways To Implement Dietary Change Without Sacrifice! ❤️I often hear "I wish I could make food like you"or "I can't eat like you do" Guess what? You absolutely can! Peanut Butter Filled Chocolate Hearts with Coconut ...7033$8.04
cobimaexchen(25)•in #health•3116 days agoIch und WirPaul Ray, Anthropologe und Soziologe beschreibt Erwachen als klares Sehen, dass es keine Einzel-Ich gibt und dass es nur Einheit gibt. Erwachen ist, im tiefsten...118$3.63cobimaexchen(25)•in health•3116 days agoIch und WirPaul Ray, Anthropologe und Soziologe beschreibt Erwachen als klares Sehen, dass es keine Einzel-Ich gibt und dass es nur Einheit gibt. Erwachen ist, im tiefsten...118$3.63
mehdikh19(25)•in #health•3118 days agohow we can make the adstrigens and antiseptic solution?Hello my steemit friends I'm @mehdikh19 and my nickname here is DOCTRO STEEMIT if you followed me you know I'm a pharmacy student ,I made some posts about the m...564$9.50mehdikh19(25)•in health•3118 days agohow we can make the adstrigens and antiseptic solution?Hello my steemit friends I'm @mehdikh19 and my nickname here is DOCTRO STEEMIT if you followed me you know I'm a pharmacy student ,I made some posts about the m...564$9.50
travel-cuisine(25)•in #health•3118 days agoNatural Remedies #4- How To Cure Acne?Acne mostly affects the skin of teenagers but it also affects some adults. Acne is the condition in which the sebum builds up in the pores of the skin. Sebum is...977$3.32travel-cuisine(25)•in health•3118 days agoNatural Remedies #4- How To Cure Acne?Acne mostly affects the skin of teenagers but it also affects some adults. Acne is the condition in which the sebum builds up in the pores of the skin. Sebum is...977$3.32
nolnocluap(25)•in #health•3117 days agoAnother Day Without Plastic Money. My First Time In A "Salt Room" & The Start Of My New Keto Diet!What an active and productive day, all achieved without phones and plastic money (two things we're trying to cut back on as I explained in my post here. To star...11119$4.59nolnocluap(25)•in health•3117 days agoAnother Day Without Plastic Money. My First Time In A "Salt Room" & The Start Of My New Keto Diet!What an active and productive day, all achieved without phones and plastic money (two things we're trying to cut back on as I explained in my post here. To star...11119$4.59
braini(25)•in #health•3116 days agoDental problems: treatment, symptoms & causesHealthy gums are strong, supple and light pink in color. Healthy gums also seal seamlessly on each tooth, as tight as an elastic to bite you and pass invisibly ...783$7.08braini(25)•in health•3116 days agoDental problems: treatment, symptoms & causesHealthy gums are strong, supple and light pink in color. Healthy gums also seal seamlessly on each tooth, as tight as an elastic to bite you and pass invisibly ...783$7.08
healthwizard(25)•in #health•3116 days agoWhat smell is this ???STINKY FEET It may sound trivial, but this one problem is very annoying your daily activities, especially if you are an active and often meet with many people e...1072$7.00healthwizard(25)•in health•3116 days agoWhat smell is this ???STINKY FEET It may sound trivial, but this one problem is very annoying your daily activities, especially if you are an active and often meet with many people e...1072$7.00
cabbagepatch(25)•in #steemiteducation•3117 days agoChildhood Injuries: Post Concussion Syndrome & Recovery & Safety Measures To Prevent ConcussionsImage Credit --- My last article ”Childhood Injuries: Concussions” was about what a concussion was, its symptoms, and the initial recovery course. It reviewed s...17513$7.88cabbagepatch(25)•in steemiteducation•3117 days agoChildhood Injuries: Post Concussion Syndrome & Recovery & Safety Measures To Prevent ConcussionsImage Credit --- My last article ”Childhood Injuries: Concussions” was about what a concussion was, its symptoms, and the initial recovery course. It reviewed s...17513$7.88
danigirl(25)•in #health•3117 days agoMore Than Meets The EyeHey Steemers, I'd like to shine some rays on a shadowed truth. In a nutshell: humans are more than meets the eye. We are complex individuals with more hidden st...465$8.34danigirl(25)•in health•3117 days agoMore Than Meets The EyeHey Steemers, I'd like to shine some rays on a shadowed truth. In a nutshell: humans are more than meets the eye. We are complex individuals with more hidden st...465$8.34
ladyrebecca(25)•in #health•3115 days agoPolish parents on the run from the vaccine policeThe birth of a child should be a moment of joy, but for a Polish couple it was the beginning of a nightmare. Katarzyna S. (27) and her husband Michal welcomed t...437$6.66ladyrebecca(25)•in health•3115 days agoPolish parents on the run from the vaccine policeThe birth of a child should be a moment of joy, but for a Polish couple it was the beginning of a nightmare. Katarzyna S. (27) and her husband Michal welcomed t...437$6.66
beesteem(25)•in #health•3118 days agoHas a New Obesity Cure Been Discovered? Microneedle patches reduce Body Fat in Mice"This may be a cure for obesitas therapy" That's what researchers write in the magazine ACS Nano. http://pubs.acs.org/doi/10.1021/acsnano.7b04348 How does it wo...782$12.72beesteem(25)•in health•3118 days agoHas a New Obesity Cure Been Discovered? Microneedle patches reduce Body Fat in Mice"This may be a cure for obesitas therapy" That's what researchers write in the magazine ACS Nano. http://pubs.acs.org/doi/10.1021/acsnano.7b04348 How does it wo...782$12.72
flamingirl(25)•in #health•3117 days agoTiger balm, a natural remedy against body pain !Hi Stemmians, Today I want to tell you about the Tiger Balm! I use this balm regularly to treat a lot of pain and I want to share with you the benefits of this ...268$11.10flamingirl(25)•in health•3117 days agoTiger balm, a natural remedy against body pain !Hi Stemmians, Today I want to tell you about the Tiger Balm! I use this balm regularly to treat a lot of pain and I want to share with you the benefits of this ...268$11.10
samstonehill(25)•in #health•3118 days agoHow did I get ripped without going to the gym???It has come to my attention that my physical development over the last 10 years may be of interest to the steemit community. Thanks to @halcyondaze for the idea...14374$13.77samstonehill(25)•in health•3118 days agoHow did I get ripped without going to the gym???It has come to my attention that my physical development over the last 10 years may be of interest to the steemit community. Thanks to @halcyondaze for the idea...14374$13.77
dana-edwards(25)•in #health•3116 days agoIn primates, anti-HIV antibodies 99% effective, human trials are imminentSuccessful result in primate study for new HIV antibody --- This is potentially good news for people concerned about HIV. The treatment options improve every ye...925$5.94dana-edwards(25)•in health•3116 days agoIn primates, anti-HIV antibodies 99% effective, human trials are imminentSuccessful result in primate study for new HIV antibody --- This is potentially good news for people concerned about HIV. The treatment options improve every ye...925$5.94
indian-mom(25)•in #food•3116 days agoBenefits Of PotatoesEvergreen potatoes are not only nutritious but also healthy. http://images4.fanpop.com/image/photos/18400000/PotatoEs-potato-king-and-his-minions-potatoes-18440...394$11.94indian-mom(25)•in food•3116 days agoBenefits Of PotatoesEvergreen potatoes are not only nutritious but also healthy. http://images4.fanpop.com/image/photos/18400000/PotatoEs-potato-king-and-his-minions-potatoes-18440...394$11.94
dana-edwards(25)•in #health•3116 days agoNew evidence suggests that ADHD is actually a sleep disorder> What if, as a growing number of researchers are proposing, many kids today simply aren't getting the sleep they need, leading to challenging behaviours that m...995$7.62dana-edwards(25)•in health•3116 days agoNew evidence suggests that ADHD is actually a sleep disorder> What if, as a growing number of researchers are proposing, many kids today simply aren't getting the sleep they need, leading to challenging behaviours that m...995$7.62
justtryme90(25)•in #steemstem•3116 days agoCDC Meta Analysis Discusses Just How Many Viruses Can Live In Human SemenPerusing the literature I came across a discussion of a recent meta-analysis (a study of studies) performed by the US Centers for Disease Control and Prevention...17442$8.98justtryme90(25)•in steemstem•3116 days agoCDC Meta Analysis Discusses Just How Many Viruses Can Live In Human SemenPerusing the literature I came across a discussion of a recent meta-analysis (a study of studies) performed by the US Centers for Disease Control and Prevention...17442$8.98
citizenzero(25)•in #cooking•3117 days agoThe Best Way To Clean A Cast Iron Frying PanIf you are into sustainability, there is nothing more durable than cast iron cookware. I inherited my mother's cast iron frying pan she got as a wedding present...7351$18.49citizenzero(25)•in cooking•3117 days agoThe Best Way To Clean A Cast Iron Frying PanIf you are into sustainability, there is nothing more durable than cast iron cookware. I inherited my mother's cast iron frying pan she got as a wedding present...7351$18.49